Beranda
Tentang TBLA
Profil Perusahaan
Visi dan Misi
Nilai Perusahaan
Kebijakan Kami
Kepemilikan Saham
Struktur organisasi
Manajemen
Keuntungan Persaingan
Penghargaan
Informasi Lainnya
Anggaran Dasar Perusahaan
Kantor Pusat / Pabrik / Anak Perusahaan
Produk
Ulasan produk
Produk Campuran
Operasi
Profil Perkebunan
Kapasitas Produksi
Hubungan Investor
Informasi RUPS/RUPO
Laporan Keuangan
Sorot Keuangan
Buletin Triwulan
Presentasi Investor
Ulasan Analis
Laporan Tahunan
Laporan Berkelanjutan
Sejarah Dividen
Sejarah Pencatatan Saham
Sejarah Pencatatan Efek
Prospektus
GCG
Komite
Audit Internal
Sekretaris Perusahaan
Lembaga Penunjang
Kode etik
Sistem Pelaporan Pelanggaran
Manajemen Resiko
Pedoman Kerja Direksi dan Komisaris
Pedoman Kerja Direksi
Pedoman Kerja Dewan Komisaris
Pedoman Kerja Komite
Pedoman Kerja Komite Manajemen Resiko
Pedoman Kerja Komite Nominasi dan Remunerasi
Piagam Internal Audit
Piagam Komite Audit
Kebijakan
Kebijakan Komunikasi dengan Pemegang saham dan Investor
KEBIJAKAN TATA CARA PENGUNDURAN DIRI DIREKSI DAN DEWAN KOMISARIS APABILA TERLIBAT DALAM KEJAHATAN KEUANGAN
KEBIJAKAN SELEKSI DAN PENINGKATAN KEMAMPUAN PEMASOK DAN VENDOR
Kebijakan Remunerasi Direksi dan Karyawan PT TBL
Kebijakan Penilaian Kinerja Dewan Komisaris & Direksi
Kebijakan Anti Korupsi dan Fraud
Kebijakan Pemenuhan Hak-Hak Kreditur
CSR
Kebijakan Tanggung Jawab Sosial
Filosofi dan Prinsip Bekerlanjutan Bisnis Perseroan
Karir
Kontak
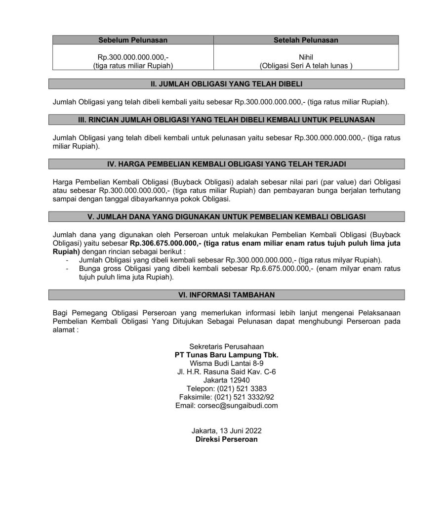
Informasi Pelaksanaan Pembelian Kembali Obligasi Berkelanjutan I Tunas Baru Lampung Tahap II Tahun 2020 Seri A Tingkat Bunga Tetap Dengan Jumlah Pokok Obligasi Sebesar Rp.300.000.000.000,- (Tiga Ratus Miliar Rupiah)
/>
Latest
News
Jakarta, April 24, 2025’TBL’s Clarification on Rainforest Action Network ( RAN )’s Report
Keterbukaan Informasi Rencana Pembelian Kembali Saham PT Tunas Baru Lampung Tbk dalam Kondisi Pasar yang Berfluktuasi Secara Signifikan
Informasi Pelaksanaan Pembelian Kembali Obligasi Berkelanjutan II Tunas Baru Lampung Tahap I Tahun 2023
Informasi Pelaksanaan Pembelian Kembali Obligasi Berkelanjutan I Tunas Baru Lampung Tahap II Tahun 2020 Seri B
Pengumuman Rencana Pembelian Kembali Ditujukan Sebagai Pelunasan Dipercepat Obligasi Berkelanjutan II Tunas Baru Lampung Tahap I Tahun 2023
Pengumuman Rencana Pembelian Kembali Ditujukan Sebagai Pelunasan Dipercepat Obligasi Berkelanjutan I Tunas Baru Lampung Tahap II Tahun 2020 Seri B
Pengumuman Jadwal dan Tata Cara Dividen Interim 2024
Informasi Hasil RUPSLB 27 Oktober 2023
OJK-Penyampaian Pengunduran diri direksi
Sertifikat Pemeringkatan PT Tunas Baru Lampung Tbk